Vulcan County, Rural Vulcan County, Alberta T0L 2B0

Listed for:
$188,500
0 beds
0 baths
Listed 44 days ago
Vulcan County, Rural Vulcan County, Alberta T0L 2B0

View all 6 photos

Learn more about this property
Listing provided by:
Century 21 Foothills Real Estate
MLS® number:
A2224584
Agent:
Chad Gothard
*Indicates required field
Name is required
Email is required
Please enter a valid phone number (e.g., 416-111-1111).

About

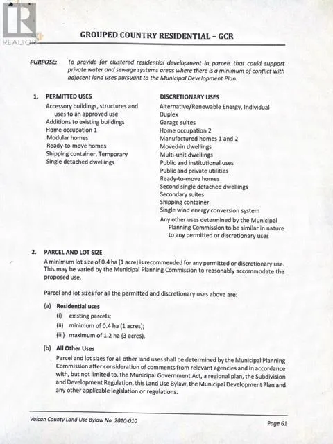
LOT 4. PRIMARY POWER LINES ARE GOING IN !!!! Here is your chance to bring your ideas and purchase your very own acreage lot. With the Grouped Country Residential zoning it will give you numerous options under the permitted and discretionary uses. There are very limited acreage lots available at this size and price. At just under 5 acres the possibilities are endless. For the naturalists these lots still contain untouched prairie wool grasses. The County of Vulcan has been a gem to deal with as well as the inspectors making the development process straightforward. Call your favorite agent today and lets discuss options!!! (id:27476)

Property Highlights

MLS® Number
A2224584
Type
Vacant Land
Ownership Type
Freehold
Land Size
4.7 ac|2 - 4.99 acres

Building

Fireplace Present
No
Basement Type
Basement Features
Building Heating Type
Heating Fuel
Building Cooling Type

Utilities

Water
None
Utility Sewer
No sewage system

Location

Street Spotlight - For sale